我校9999js金沙老品牌张天良副教授所在的“信息物理融合系统智能优化控制研究团队”在离散时变随机系统的反馈稳定化研究方面取得重要进展。2025年3月张天良副教授作为第一作者、青岛理工大学作为第一作者单位在控制领域顶级期刊《IEEE Transactions on Automatic Control》发表的最新论文“New Approach to Feedback Stabilization of Linear Discrete Time-Varying Stochastic Systems”中,提出了基于状态转移矩阵(STM)的新方法,解决了线性离散时变随机(LDTVS)系统的反馈镇定性问题。

图1论文截图
离散随机系统的稳定性和镇定性是控制界的研究热点,但是大多数工作是基于Lyapunov函数方法,而这种方法的局限性在于只能给出某些充分条件,所以具有很大的保守性。张天良副教授通过将现代控制论中的STM方法推广到随机系统,建立了与确定性系统稳定性相平行的结论,突破了经典Lyapunov方法在随机稳定性研究中的局限性,是对离散随机系统稳定性研究的重要贡献,可以启发许多后续研究,被审稿人认为是“interesting and important wrok”.
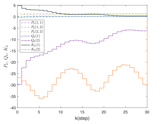
具体而言,这项工作首次将STM方法应用于LDTVS系统的有限时间镇定性、均方一致镇定性、均方一致渐近/指数镇定性等问题的研究,首次证明了均方一致渐近镇定性和均方一致指数镇定性的等价关系。基于STM方法得到了关于LDTVS系统镇定性的一系列充分必要条件。并给出了基于广义约束Lyapunov方程(GCLE)和广义约束Lyapunov不等式(GCLI)的Lyapunov型定理。更重要的是,为有限时间镇定性和均方镇定性提供了基于线性矩阵不等式的充分必要条件,这在控制器设计中非常方便。成果不仅具有重要的理论价值,还在机器人控制等实际工程中得到了验证。团队通过一个机器人手臂系统的仿真验证,证明了所提出方法的有效性,展示了其在工程应用中的潜力。

张天良,青岛理工大学副教授,山东省泰山学者青年专家,中国自动化学会青年工作委员会委员,江苏省卓越博士后,主要从事随机系统控制、预定义时间控制等方向的研究,迄今已在国际权威期刊发表SCI论文40余篇,其中包括控制领域顶级期刊《IEEE Transactions on Automatic Control》和《Automatica》论文8篇,并有2篇论文入选ESI高被引论文,1篇论文被评为热点论文,先后在台湾清华大学、澳大利亚阿德莱德大学、香港城市大学和南方科技大学进行联合培养或承担访问学者工作,目前担任SCI期刊Mathematics客座编辑、JAI青年编委,近年来主持国家自然科学基金和省部级以上科研项目7项。(撰稿:张天良;审核:田艳兵)

图2单自由度机械臂结构示意图

图3矩阵序列{Pk、Qk}和控制增益{Kk}

图4科研团队组会讨论照片